Introduction
Cette page a pour vocation de servir d'outil d'aide à la réalisation d'une analyse coût bénéfice individuelle, en application de l'article 14 de la directive européenne 2012.27 relative à l'Efficacité énergétique, transposée dans les articles 2 et 30 et à l'annexe XXXII de l'arrêté du Gouvernement wallon du 4 juillet 2002 relatif à la procédure et à diverses mesures d'exécution du décret du 11 mars 1999 relatif au permis d'environnement insérés par l'arrêté du Gouvernement wallon du 19 juin 2014 modifiant l'arrêté du Gouvernement wallon du 4 juillet 2002 relatif à la procédure et à diverses mesures d'exécution du décret du 11 mars 1999 relatif au permis d'environnement et y insérant l'annexe XXXII.
L'application des canevas proposés n'est pas obligatoire. Il est cependant obligatoire de réaliser cette analyse, en application des principes de VAN et TRI.
L'analyse coût-avantage consistera à comparer deux scénarii (le projet initial et l'installation de référence de la directive-art14.5), au moyen d'une analyse financière basée sur les concepts de VAN et TRI du projet présenté à permis d'environnement. L'analyse comprendra une description de l'installation prévue d'une part et de celle considérée pour la comparaison. La description mentionnera notamment les capacités électriques et thermiques, le type de combustibles, l'utilisation prévue, le nombre d'heures d'exploitation prévu, la localisation, la demande en électricité et chaleur (en ce compris la demande des points voisins envisagés). La distance maximum à considérer pour les demandes en électricité et chaleur sera définie en fonction de la satisfaction d'une demande économiquement justifiée.
Installations concernées
Les installations de référence doivent être comparées aux installations suivantes :
|
Installation initiale |
Installation à comparer |
|
Installations projetées soumises à demande de permis d'ENV |
Installations de référence mettant en œuvre une BAT qui serviront de base pour la comparaison |
|
Une nouvelle installation de production d'électricité thermique dont la puissance thermique totale est supérieure à 20 MW qui est planifiée |
Une cogénération à haut rendement ou un fonctionnement en mode cogénération à haut rendement |
|
Une installation existante de production d'électricité thermique d'une puissance thermique totale supérieure à 20 MW fait l'objet d'une rénovation substantielle |
Une cogénération à haut rendement ou un fonctionnement en mode cogénération à haut rendement |
|
Une installation industrielle d'une puissance thermique totale supérieure à 20 MW génératrice de chaleur fatale à un niveau de température utile est planifiée ou fait l'objet d'une rénovation substantielle |
Une valorisation de la chaleur fatale en vue de satisfaire à une demande justifiée du point de vue économique, y compris par la cogénération, et du raccordement de cette installation à un réseau de chaleur et de froid |
|
Un nouveau réseau de chaleur et de froid est planifié, ou, dans un réseau de chaleur et de froid existant, une nouvelle installation de production d'énergie d'une puissance thermique totale supérieure à 20 MW est planifiée ou une telle installation existante fait l'objet d'une rénovation substantielle |
Une valorisation de la chaleur fatale provenant des installations industrielles situées à proximité |
Principe de la méthode de calcul
L'analyse sera basée sur une analyse financière reflétant les flux de trésorerie liés aux investissements et à leur exploitation.
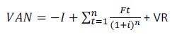
Le principe de calcul est le suivant :

-
I= Montant d'investissement
-
F= Cash généré par l'investissement
-
n = durée de vie du projet
-
i = taux d'actualisation
-
VR = Valeur résiduelle
Le taux de rentabilité interne du projet sera également calculé (taux qui annule la VAN).
Hypothèses de travail
Hypothèses générales
Les hypothèses générales nécessaires pour réaliser l'analyse sont :
-
L'année de démarrage du projet
-
L'inflation des coûts (dont coût du réseau) : par défaut, estimé à 2%
-
L'inflation des prix d'électricité et de la chaleur, estimé à 3.5%
-
L'inflation des combustibles (biomasse), estimé à 3%
-
Le prix de l'électricité « retail », c'est-à-dire le prix de l'électricité achetée sur le marché par le porteur de projet
-
Le prix de l'électricité « market », c'est-à-dire, le prix de l'électricité vendue par le porteur de projet sur le marché
-
Le coût d'injection de l'électricité vendue par le porteur de projet, à sa charge
-
Le prix de référence de la chaleur (gaz ou mazout), c'est-à-dire le prix d'achat de la chaleur par le porteur de projet
-
Le coût de l'intrant : le coût d'achat des intrants par le porteur de projet
-
Le prix de vente de la chaleur par le porteur de projet
-
Le taux d'imposition ; le maximum est fixé à 33.99%, mais ce taux est à corriger en fonction du pourcentage d'impôts payés par l'entité, porteuse du projet
-
Le taux d'actualisation ; ce taux peut être différencié pour les 2 projets, le risque exposé n'étant pas nécessairement identiques en fonction des projets identifiés. Cependant, il est demandé d'argumenter le choix de ce taux.
Les estimations proposées peuvent être corrigées par le porteur de projet, en fonction des données propres dont il dispose.
Hypothèses techniques et financières
-
Les hypothèses suivantes sont nécessaires :
-
Les puissances installées, ainsi que les rendements et le nombre d'heures de fonctionnement annuel, soit une estimation de la production d'électricité et de chaleur
-
La quantité de chaleur vendue, dans le cas d'un réseau
-
Les coûts d'investissement, ainsi que leur étalement dans le temps. Le modèle prévoit un étalement possible de 5 ans maximum. De ces coûts seront déduites les aides à l'investissement reçues.
-
La durée d'amortissement (nécessaire pour calculer l'économie fiscale sur amortissement)
-
Les éventuelles remises en état, en cours de projet. Le modèle permet d'en intégrer deux.
-
Les coûts opérationnels de l'installation, ainsi que les coûts des intrants
-
Le nombre d'années de disponibilité des CV, ainsi que l'éventuel coefficient multiplicateur (keco)
Actualisation
Les flux de trésorerie sont actualisés au moyen d'un taux d'actualisation, défini comme le coût moyen pondéré du capital.
Le coût moyen pondéré du capital (ou WACC) post-tax se formule de la manière suivante :
WACC = g*i*(1-t) +(1-g)*r
Où
-
g = poids des dettes, et donc 1-g= poids des fonds propres
-
i= taux d'emprunt
-
r= return espéré des actionnaires
-
t= taux imposition
Le coût des fonds propres (r) sera constitué de 2 composantes :
- Taux de rentabilité sans risque
- Prime de risque lié au projet
r= rf*+? (rm-rf)
Où
-
Rf= taux de rentabilité sans risque (taux OLO)
-
Rm= rentabilité espérée du marché financier (indice boursier)
- ? = mesure du risque de la société par rapport au marché
Si applicable, l'investisseur prendra en compte dans son coût des fonds propres l'impact fiscal des intérêts notionnels sur le coût des fonds propres.
L'investisseur démontrera comment il arrive au taux d'actualisation choisi pour les scénarii.
Calcul
Les feuilles de calcul sont au nombre de deux : une pour l'installation initiale envisagée, une pour l'installation à laquelle comparer.
Ces feuilles de calcul permettent de déterminer le cash flow libre (free cash flow) :
-
Les gains réalisés en termes d' électricité économisée et revendue, d'économie de chaleur et de chaleur revendue, d'aide à la production ( certificats verts)
-
Les coûts opérationnels liés au projet, tels que les coûts de fonctionnement des installations, le coût des combustibles et le coût du réseau électrique
-
L'impôt payé (tenant compte de l'économie fiscale engendrée par les amortissements)
-
Les investissements réalisés en début et cours de projet
-
Une éventuelle valeur résiduelle
La somme de ces éléments, appelé Cash flow libre, est ensuite actualisée.
Le cumul des cash flow libres actualisés donnent la valeur actualisée nette du projet.
Le taux de rentabilité interne est également calculé dans le modèle.
Critère d'évaluation
Sur base de cette analyse, les VAN et TRI des deux scénarii seront comparés. Dans le cas où les résultats de VAN et TRI conduisent à des opportunités d'investissement contradictoires, priorité sera donnée au critère de VAN.
Le permis d'environnement tient compte des résultats de l'analyse financière du projet présenté.